首页
产品方案
核心量子材料
电子级高纯金刚石
单NV色心量子金刚石
高密度NV色心量子金刚石
超高密度NV色心量子金刚石
表层NV色心量子金刚石
NV色心纳米金刚石
NV色心金刚石压砧
SiV色心量子金刚石
黑磷
量子精密仪器
技术与创新
探索晶创元
加入我们
联系我们
NV Diamond Anvil
NV色心金刚石压砧
首页
/
产品列表
/
NV色心金刚石压砧
NV色心金刚石压砧
产品介绍
ViQium
TM
NV色心金刚石压砧系列产品具有直接、高分辨率的压力传感、多物理场同时探测、原位磁场测量等优势。广泛应用于极端高压条件下材料磁信号探测、地球与行星科学、新物态探索等应用场景。
性能优势
直接、高分辨率的压力传感
多物理场同时探测
原位磁场测量
低荧光
超高硬度
立即下载
应用场景
极端高压条件下的磁次高压超导
量子材料
地球与行星科学
新物态探索
测试图谱
图. NV色心金刚石压砧的共聚焦荧光图
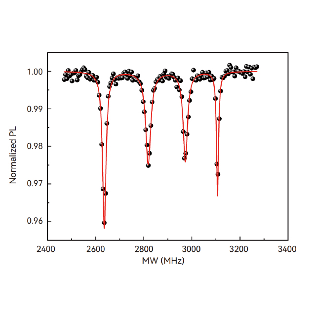
图. NV色心金刚石压砧的连续波长ODMR光谱
图. NV色心金刚石压砧的荧光光谱
本网站会在您的计算机上存储Cookies。这些Cookies用于收集您如何与我们的网站互动的信息,并帮助我们记住您。我们使用这些信息来改进您的浏览体验,同时用于数据分析,以了解我们在本网站和其他平台上访问情况。要了解更多关于我们使用的Cookies,请参阅我们的
隐私政策
。
拒绝
接受所有
姓名
电话
邮箱
单位
留言
点击提交
文件下载
微信中无法直接下载,请点击文件名或复制链接后在浏览器中打开
复制链接
关闭
已复制到剪贴板