Hero BG

Single NV Diamond

单NV色心量子金刚石

首页 / 产品列表 / 单NV色心量子金刚石

单NV色心量子金刚石

Hero BG

产品介绍

ViQiumTM 单NV色心量子金刚石系列产品具有高自旋相干、高光学相干、高透光性、高Contrast、100/110/111 晶向切割等优势。广泛应用于量子计算研究、量子网络研究、量子模拟、超高空间分辨率的量子传感/磁探测/电流探测、核磁共振单分子结构探测等多种应用场景。

性能优势

  • 单NV色心
  • 高自旋相干
  • 高光学相干
  • 高透光性
  • 高Contrast
  • 111晶向切割
  • 100晶向切割
  • 110晶向切割
  • 低荧光
  • 超高硬度

  • Hero BG 应用场景

    • 量子计算研究
    • 量子网络研究
    • 与13C核自旋联合应用于量子模拟
    • 超空间高分辨率的量子传感,磁探测,电流探测
    • 核磁共振单分子结构探测
    • 商用NV色心AFM设备上的探针

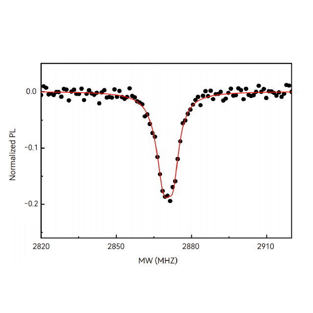
    Hero BG 测试图谱

    Microscope

    图. 单NV色心量子金刚石的连续波长ODMR光谱

    Microscope

    图. 单NV色心量子金刚石的相干性质-T2

    Microscope

    图. 单NV色心量子金刚石的相干性质-T2*