Hero BG

Ensemble NV Diamond

高密度NV色心量子金刚石

首页 / 产品列表 / 高密度NV色心量子金刚石

高密度NV色心量子金刚石

Hero BG

产品介绍

ViQiumTM 高密度NV色心量子金刚石系列产品具有高密度NV色心、高相干、高荧光强度、高透光性、高激发效率、高荧光发射效率、高灵敏度、多种晶向切割等优势。广泛应用于高灵敏度精密探测 (电流信号探测/磁信号探测/温度信号探测)、量子模拟、固态激射器Maser、太赫兹源等应用场景。

性能优势

  • 高密度NV色心
  • 高相干
  • 高荧光强度
  • 高透光
  • 高激发效率
  • 高荧光发射效率
  • 高灵敏度
  • 多晶向切割
  • 低荧光
  • 超高硬度

  • Hero BG 应用场景

    • 高灵敏度精密探测(电流信号探测,磁信号探测,温度信号探测)
    • 量子模拟
    • 固态激射器Maser
    • 太赫兹源

    Hero BG 测试图谱

    Microscope

    图. 高密度NV色心量子金刚石的连续波长ODMR光谱

    Microscope

    图. 高密度NV色心量子金刚石的相干性质-T2

    Microscope

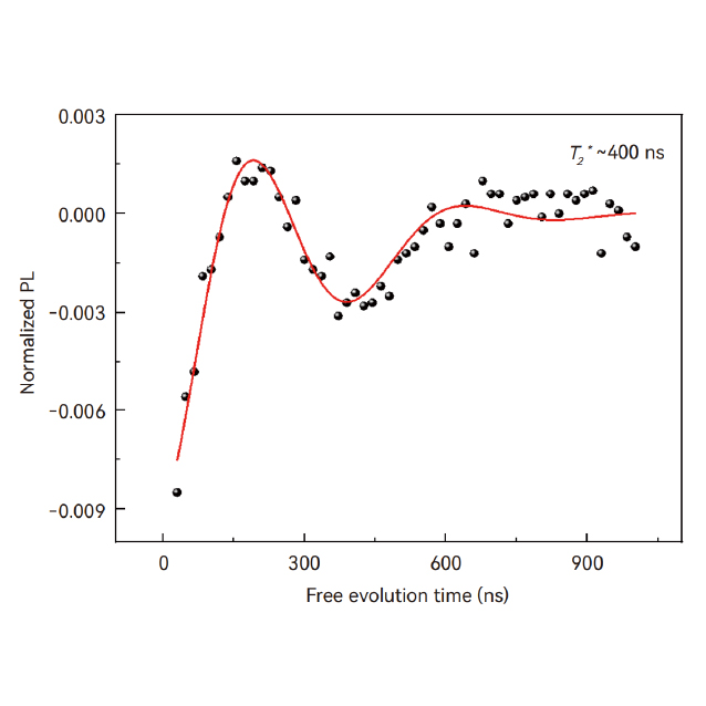
    图. 高密度NV色心量子金刚石的相干性质-T2*