Hero BG

Shallow NV Diamond

表层NV色心量子金刚石

首页 / 产品列表 / 表层NV色心量子金刚石

表层NV色心量子金刚石

Hero BG

产品介绍

ViQiumTM 表层NV色心量子金刚石系列产品具有高空间分辨率等优势。广泛应用于电流宽场成像、宽场磁成像、超快非线性光子传感器等应用场景。

性能优势

  • 高空间分辨率
  • 低荧光
  • 超高硬度

  • Hero BG 应用场景

    • 电流宽场成像
    • 宽场磁成像
    • 超快非线性光子传感器

    Hero BG 测试图谱

    Microscope

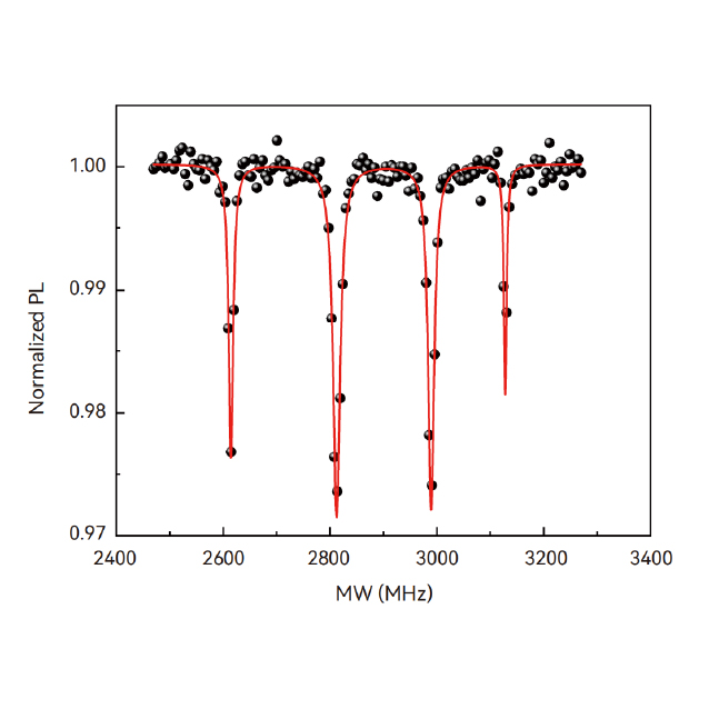
    图. 表层NV色心量子金刚石的连续波长ODMR光谱

    Microscope

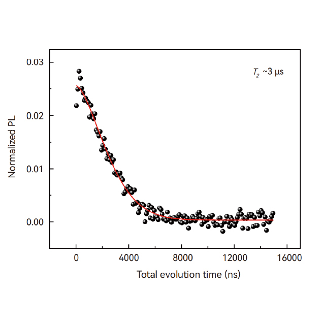
    图. 表层NV色心量子金刚石的相干性质-T2

    Microscope

    图. 表层NV色心量子金刚石的相干性质-T2*